4−4−1 計算手法

ここでは、スタッガードグリッドを用いた有限差分法の概要を記す。計算プログラムのアルゴリズムはGraves(1996)による定式化に、Pitarka(1999)による非一様グリッドの構成を取り入れて作成した。

スタッガードグリッドを用いた差分計算は以下のような利点を持つ。

@震源の導入を自然に行うことができ、速度(体積力を経由)あるいは応力項に置き換えて表現できる。

A安定で正確な自由平面の境界条件が容易に定式化できる。

B差分オペレーターを高次のものに置き換えることが容易にできる。

格子点の集合で表現した領域内の波動場は次の運動方程式、および応力−ひずみ関係式で表される。

式4−1

ここで、uは各成分の変位振幅、ρは密度、μ、λはラメの定数である。fは外力項で、これに震源メカニズムに応じた力を各々与えて地震動シミュレーションを行うことができる。∂xおよび∂ttなどは、微分演算子を以下のように簡略化したものである。

式4−2

有限差分法は、(3)式を離散化して得られる差分表現を時間ステップ毎に求めていく計算方法である。概念的な説明のため(3)の第1式左辺をごく簡単に示せば、以下のとおりとなる。

式4−3

上の添え字は時間ステップを表す。スタッガードグリッドでは、速度項vと応力項τに対応する格子点を、空間・時間ともに半グリッドずらして与える。3次元空間での各項に対応する格子点配置を図4−8に示す。

図4−8 スタッガードグリッドの概念図

スタッガードグリッドの概念を含んで、(3)式を差分表示すると以下の各式となる。

式4−4

ここで、上付きの添え字は時間ステップを、下付きはグリッド位置を表す。Dx,Dy,Dzは各々空間微分オペレーター∂x,∂y,∂zに対応する差分のオペレーターである。(4)式は時間ステップのnからn+1、n−1/2からn+1/2を求める格好となっており、速度、応力ともに0の初期値に対して外力fx,fy,fzを作用させ、時間ステップを追って行くことにより波動場の時間変化を求めることができる。

隣り合った格子で異なる物性を持つ場合、浮力係数bについては平均値、剛性率μについては逆数で平均をとってそれぞれ用いる。

2次および4次精度の差分オペレーターの表現は以下のようになる。

式4−5

(5)式において、hは格子間隔、C0、C1はLevander(1988)により各々9/8、1/24と求められている係数である。

Pitarkaは、Gravesによるスタッガードグリッドを用いた差分法の定式化を非一様グリッドに適用可能となるよう拡張した。場の変数g(x,y,z)に関する4次精度の差分演算子は以下のように表現される。

式4−6

(6)式において、変化する格子間隔に対応するΔ1からΔ4に対して係数C1〜C4を求められれば、非一様グリッドに関する差分計算の定式化が可能となる。係数C1〜C4を求める方法としてPitarkaは波数kを用いてg(x,y,z)=gyzexp(ikx)と仮定して(6)式を書き直し、さらにexp(ikΔi)のテーラー展開を代入して、以下の連立1次方程式を得ている。

式4−7

(7)式により差分オペレーターDxの係数C1〜C4を得ることができる。Dy,Dzに関しても同様にして係数を求めることができる。

非一様格子の場合、(3)式、(4)式の外力項で震源を導入するのが煩雑なため、震源位置の応力項を次式により書き換える。

(震源を格子i+1/2,j,kに置く場合)

式4−8

(8)式中ダッシュのついた応力は(4)式により求められる応力、Mxx(t)などはモーメントテンソルの時間関数、モーメントテンソルのドットは時間微分を表す。Vは震源領域の格子要素の有効体積である。

差分法などの領域解法では、人工的な境界となるモデル端部からの反射波を抑えるための処理が求められる。こうした処理は無反射境界処理と呼ばれ、差分法では

@one−way波動方程式(常に外向の成分のみを解に持つ方程式)を用いた吸収境界

A境界付近に有限な帯状領域を設け、そこで波動を減衰させるスポンジ帯減衰処理

が、一般的に用いられる。ここでは、@のひとつであるClayton Engquist(1977)のA1吸収境界を用いた。

もう一つの境界処理として自由表面の表現がある。自由表面においては応力0の条件を満たす必要があるが、ここではGravesによるゼロ応力自由境界の定式化を用いた。これは、自由表面上および自由表面の両側において、応力0の条件より導出された速度に関する差分オペレーターを用いるものである。

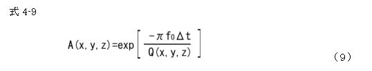
空間的に変化する減衰の効果を考慮するのは、時間ステップで計算を進める差分法などでは一般に困難なため、Gravesによる近似的な表現を用いて減衰の効果も見込むものとした。これは、以下のAを(4)式による速度振幅および応力の計算結果にかけて、以後の時間ステップの計算を行っていくものである。

式4−9

ここに、f0は解析の対象となる代表的な周波数、Qは空間的に変化する減衰を表すパラメーターである。