9−3−3 周波数−波数スペクトル解析

着目する波群の見掛け位相速度と到来方向を求めるために、多点アレー観測記録を使用し、周波数−波数スペクトル解析を行った。

偏向解析およびランニング・スペクトル解析の結果、神奈川県東部において、5〜10s程度の周期を有するLove波と考えられる波群が卓越して見られることから、東部を対象範囲として周波数−波数スペクトル解析を実施した。また、ランニング・スペクトル解析と同様に、EW成分の速度波形を使用し、Love波が卓越している時刻60〜100s区間について解析を行った。

強震観測点の分布密度も考慮し、図9−3−10に示す−75km≦x≦−45km、−35≦y≦−15km(x、y軸はそれぞれ北、東方向を正方向とする)の30km×20kmを全解析範囲とした。1つの解析領域を10km×10kmの大きさとし、それぞれが5kmずつ重なるように解析領域を設定した。そして、x方向には順にA, B, ・・・, E、y方向には順に1, 2, 3と番号を付け、各解析領域をA−1, A−2, ・・・, E−3として区別する。

図9−3−11図9−3−24に、各解析領域で求められた周波数−波数スペクトル(以下、F−Kスペクトルと略す)図を示す。

図9−3−11図9−3−12図9−3−13図9−3−14図9−3−15図9−3−16図9−3−17図9−3−18図9−3−19図9−3−20図9−3−21図9−3−22図9−3−23図9−3−24

計算周期範囲は3s〜11sとした。なお、解析領域A−1については、観測点数が少ない上に、観測点分布に偏りがあるためか、位相速度が適切に求められなかったため、解析は行わなかった。

F−Kスペクトル図において、極大値を与える点の波数 と (単位はrad/km)から波動の到来方向が得られるとともに、位相速度 (km/s)が

式9−1

により求められる。ただしここに、 は波動の周期(s)である。

F−Kスペクトル図を見ると、周期8s以上の範囲では位相速度がかなり良い精度で求められる。これは、ランニング・スペクトルで、この周期帯における波群が卓越して認められることと対応している。しかし、周期5〜7sについては、位相速度が適切には求められない点が多く、期待される値よりもかなり高い速度値が得られている。

また、周期3s付近ではF−Kスペクトルの分布が複雑な解析領域がいくつかあり、空間的な相関性がこの周期において低下するのが原因と考えられる(東, 1994)。

波動の到来方向については、短周期側(3〜4s)でほぼ真南あるいは南南西からの方向が見られるが、長周期(8〜11s)では南南西ないし南西の方向が卓越している。長周期側での到来方向をより詳細に見ると、周期8sでS18°W〜S28°Wの方向を示しているが、9〜11sではほぼS26°W〜S38°Wの方向である。各解析領域の中心点から震央を見た方位角は、平面直角座標系上で直線を仮定してほぼS11°W〜S18°Wであり、これより西側寄りから波動が到来していることがわかる。

次に、F−Kスペクトルの極大値を与える点の波数から位相速度を計算し、これをLove波の観測位相速度とし、逆解析によって各解析領域におけるS波速度構造モデルを求める。水平成層構造に対してLove波の理論分散曲線を計算するには、各層のS波速度、密度および層厚の情報が必要になる。

今回の総合解析により、神奈川県下のP波速度構造が得られている。このP波速度値から、第4章で述べた結果および既存資料等を参考にして、S波速度および密度の値を表9−3−1に示すように設定した。以後の逆解析では、これらのS波速度および密度値を固定し、層厚のみを変数とした。また、第5層上面(すなわち、第4層下面)深度については、解析範囲内で正確には求められていない。しかし、図9−3−25に示すように、第5層がある場合とない場合では周期約9s以上でLove波の位相速度が異なるものの、第5層の上面深度を5〜7kmの範囲で変化させた場合には位相速度にほとんど違いが現れない。そこで、第5層上面深度は6kmに固定して解析を行った。

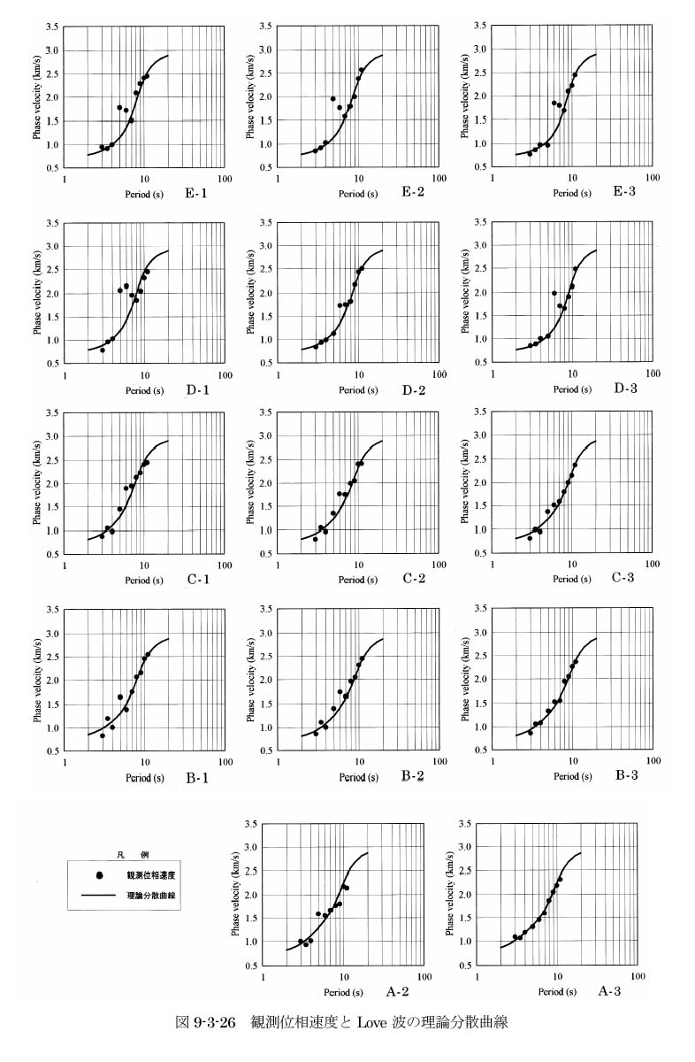
周波数−波数スペクトル解析によって求められた観測位相速度を図9−3−26に黒丸で示す。この観測値に適合するように構造モデルの層厚を変化させ、最適モデルを求めた。その結果を図9−3−27に示すとともに、Love波の理論分散曲線を図9−3−26に実線で示した。

第7章で求められた神奈川県のP波速度構造モデル(第3層および第4層上面深度)から、各解析領域内での平均値と標準偏差を計算し、「平均±標準偏差」の範囲を図9−3−27に赤線(第3層上面)および青線(第4層上面)で示した。

解析範囲の南東部にあたる解析領域A−2、A−3については、「平均±標準偏差」の範囲内に入ってはいるものの、ほぼ上限深度に近い3.3〜3.4kmの基盤深度となっている。しかし、逆解析で求められた層境界深度は、「平均±標準偏差」の範囲内にあり、神奈川県東部においては、第7章で求められた地下構造モデルがほぼ妥当であるものと考えられる。

表9−3−1 層構造モデル