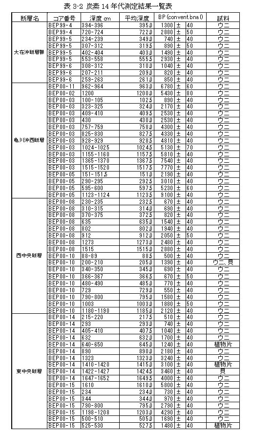
(3)炭素14年代測定
各コア試料からサンプル60試料(主にウニ、貝殻)を採取、炭素14法により年代測定を実施した。このうち、今年度調査の3断層からのサンプルに加えて昨年度調査を実施した大在沖断層群からのサンプルの測定も行った。これは、のも加えて別府湾内の断層全体の活動様式を考察することを目的として
表3−2
に測定結果の一覧表を示す。
表3−2
炭素14年代測定結果一覧表